Understanding The Sin(wt) Formula

T.Beswifty 53 views
Understanding The Sin(wt) Formula

Understanding the Sin(wt) Formula

Hey everyone! Today, we’re diving deep into something super fundamental in physics and engineering: the sin(wt) formula . You’ve probably seen it zipping around in equations for waves, oscillations, and AC circuits. But what exactly is it, and why is it so important? Let’s break it down, guys, in a way that makes total sense.

At its core, the sin(wt) formula is a mathematical representation of a simple harmonic motion or a sinusoidal wave . Think about a pendulum swinging back and forth, or the way a plucked guitar string vibrates. These are classic examples of systems that exhibit this kind of motion. The sin part refers to the sine function, a fundamental trigonometric function that describes the relationship between an angle and the ratio of sides in a right-angled triangle. But in the context of sin(wt), it’s not just about triangles; it’s about cyclical, repetitive movement over time.

The w in the formula stands for angular frequency . This is a measure of how fast something is oscillating or rotating, expressed in radians per second. A higher angular frequency means faster oscillations or rotations. Imagine two fans spinning; the one with a higher w is spinning more rounds per second. The t simply represents time . So, as time ( t ) progresses, the value inside the sine function ( wt ) changes, causing the sine function itself to cycle through its values, typically ranging from -1 to +1.

Why is this formula so darn useful? Because it perfectly models phenomena that repeat themselves in a predictable, smooth, wave-like pattern. From the alternating current powering your home to the propagation of light and sound waves, the sin(wt) formula is the bedrock upon which we understand and analyze these complex systems. It allows engineers and physicists to predict the behavior of circuits, analyze mechanical vibrations, and even understand the workings of musical instruments. Without this simple yet powerful formula, our understanding of the oscillating universe would be significantly limited. It’s the building block for so much of what we consider fundamental in science and technology. So, next time you hear about waves or oscillations, remember the elegant simplicity of sin(wt) and how it describes the rhythmic dance of nature.

The Building Blocks: Sine, Angular Frequency, and Time

Let’s get a bit more hands-on with the components of our beloved sin(wt) formula , shall we? Understanding each piece individually will make the whole picture crystal clear. We’ve already touched on them, but let’s give them the spotlight they deserve. First up, the sine function . In trigonometry, the sine of an angle (let’s call it θ) in a right-angled triangle is the ratio of the length of the side opposite the angle to the length of the hypotenuse. But when we move into the realm of waves and oscillations, we think of the sine function as mapping an angle to a point on a unit circle. As the angle increases, the y-coordinate of that point traces out the familiar sine wave. This wave oscillates smoothly between a maximum value of +1 and a minimum value of -1. It’s this smooth, predictable oscillation that makes it ideal for describing many natural phenomena.

Next, we have angular frequency , denoted by the Greek letter omega (ω). This guy tells us how quickly our oscillation is happening in terms of radians per second. If you think about a full cycle of the sine wave, it corresponds to an angle of 2π radians (or 360 degrees). Angular frequency essentially tells you how many of these 2π radian cycles are completed in one second. So, a higher ω means more cycles per second, leading to a faster wave. For example, if ω = 2π radians/second, then one full cycle of the sine wave occurs in exactly one second. If ω = 4π radians/second, two full cycles occur in one second. It’s a crucial parameter because it dictates the frequency of the oscillation, which is directly related to observable properties like the pitch of a sound or the color of light.

Finally, we have time , represented by t . This is our independent variable. As time marches forward, the value of wt changes, and consequently, the value of sin(wt) fluctuates. When we plot sin(wt) against t , we get the classic sine wave shape. The speed at which t progresses through the wt product determines how compressed or stretched out the wave appears horizontally. A faster rate of time passage (if we could control it!) would make the wave look like it’s moving quicker. In real-world applications, t is the actual duration over which we are observing the phenomenon, whether it’s milliseconds for a radio signal or years for astronomical cycles.

When these three components – the sine function, angular frequency, and time – come together in sin(wt) , they create a powerful tool for modeling anything that oscillates or travels in a wave. It’s the mathematical embodiment of smoothness and repetition, providing a foundation for understanding everything from the smallest quantum vibrations to the largest cosmic waves. Pretty neat, huh?

Applications of Sin(wt) in the Real World

Alright, fam, let’s talk about where this sin(wt) formula actually shows up and makes a difference in our everyday lives. It’s not just some abstract math concept; it’s out there, working its magic all around us. One of the most prominent places you’ll find it is in alternating current (AC) circuits . The electricity that flows into your home and powers your gadgets? Yeah, that’s AC. The voltage and current in AC circuits oscillate sinusoidally, meaning they can be described using sine and cosine functions. The formula V(t) = V_peak * sin(ωt + φ) is commonly used, where V_peak is the maximum voltage, ω is the angular frequency (typically 60 Hz or 50 Hz depending on your region), t is time, and φ is a phase shift. Understanding this allows engineers to design power grids, transformers, and all sorts of electrical devices safely and efficiently. Without this understanding, our modern electrical infrastructure would simply not exist.

Beyond electricity, think about sound waves . When you speak, play an instrument, or listen to music, you’re experiencing pressure variations in the air that travel as waves. For simple, pure tones (like those produced by a tuning fork or a single electronic oscillator), the pressure variation can be accurately modeled by a sine function of time, like p(t) = p_0 * sin(ωt) . Here, p_0 is the amplitude of the pressure variation (related to loudness), and ω is the angular frequency (related to pitch). While complex sounds are made up of many sine waves superimposed, the sine function is the fundamental building block. This is why musical instruments sound different – they produce different combinations of frequencies, all based on this sinusoidal principle.

Then there’s light and electromagnetic waves . Radio waves, microwaves, X-rays, and visible light are all forms of electromagnetic radiation that propagate as waves. Their electric and magnetic fields oscillate sinusoidally. The frequency of these oscillations determines the type of electromagnetic radiation and its properties – higher frequencies correspond to higher energy photons. For instance, the visible light spectrum ranges from red light (lower frequency) to violet light (higher frequency), all governed by the principles of sinusoidal wave propagation. The sin(wt) formula is foundational to understanding how antennas transmit and receive signals, how fiber optics work, and the very nature of light itself.

Even in mechanical systems , the sin(wt) formula is king. Think about a mass on a spring oscillating back and forth. If there’s no friction, its position as a function of time will follow a sine or cosine curve: x(t) = A * cos(ωt + φ) , where A is the amplitude (maximum displacement) and ω is the angular frequency determined by the mass and the spring constant. This principle extends to larger systems like the suspension in your car, the vibration of a bridge, or the operation of clocks. Understanding these oscillations is crucial for preventing resonance (which can destroy structures) and designing systems that operate smoothly and predictably. So, the next time you flip a light switch, listen to music, or drive your car, remember that the simple sin(wt) formula is likely playing a role behind the scenes, making it all happen.

The Extended Family: Cosine and Phase Shifts

Now, guys, while sin(wt) is super important, it’s not the only player in the sinusoidal game. You’ll often see its buddy, the cosine function , popping up alongside it. And you’ll also encounter situations where there’s a little something extra added inside the parentheses, called a phase shift . Let’s unpack these related concepts, because they’re essential for a complete picture.

The cosine function, cos(wt) , is intrinsically linked to the sine function. In fact, cos(θ) is just sin(θ + π/2) . This means a cosine wave is essentially a sine wave that has been shifted horizontally by a quarter of a cycle. If you graph sin(wt) and cos(wt) on the same axes, you’ll see they have the exact same shape, just offset from each other. In many physical systems, whether you describe the motion using a sine or a cosine function depends on where you decide to start measuring time (t=0). If at t=0, the system is at its equilibrium position and moving in a positive direction, a sine function might be more natural. If at t=0, the system is at its maximum positive displacement, a cosine function is often a better fit. Both describe the same underlying harmonic oscillation, just with a different starting point.

This brings us to the phase shift , often represented by the Greek letter phi (φ). When you see an equation like A * sin(ωt + φ) or A * cos(ωt + φ) , that + φ term is the phase shift. It tells you how much the wave is shifted forward or backward in time relative to a pure sine or cosine wave starting at t=0. A positive φ means the wave starts earlier (or is shifted to the left on a graph), while a negative φ means it starts later (or is shifted to the right). Think of it like synchronizing multiple waves. If two waves have the same frequency but different phase shifts, they won’t be perfectly aligned. This phase difference is crucial in many applications, especially in signal processing and electrical engineering, where the relative timing of different signals can determine how they interact (constructively or destructively).

For example, in AC circuits, the current and voltage may not rise and fall at the exact same time. One might lead or lag the other. This difference is described by a phase shift. Similarly, in wave phenomena like interference, the phase difference between two waves dictates whether they add up to create a larger wave (constructive interference) or cancel each other out (destructive interference). So, while sin(wt) gives us the basic oscillatory pattern, adding the cosine function and phase shifts allows us to model a much wider range of real-world phenomena with greater precision. It’s like having a more sophisticated toolkit to describe the rhythmic universe around us. These extensions make the sinusoidal model incredibly versatile and powerful for analyzing everything from simple harmonic oscillators to complex wave interactions.

The Mathematics Behind the Wave

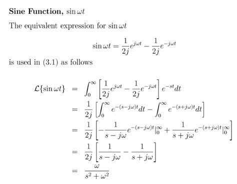
Let’s get a little deeper into the mathematical elegance of the sin(wt) formula and its connection to other fascinating concepts. While the basic sin(wt) describes a pure, unadulterated oscillation, understanding its mathematical underpinnings reveals its broader significance. One of the most powerful ways to represent sinusoidal functions is using complex exponentials , thanks to a beautiful identity known as Euler’s formula : \(e^{i heta} = ext{cos}( heta) + i ext{sin}( heta)\) . Here, i is the imaginary unit ( \(\sqrt{-1}\) ), e is the base of the natural logarithm, and \(\theta\) is the angle in radians.

From Euler’s formula, we can derive expressions for sine and cosine: \(\text{sin}(\theta) = \frac{e^{i\theta} - e^{-i\theta}}{2i}\) and \(\text{cos}(\theta) = \frac{e^{i\theta} + e^{-i\theta}}{2}\) . So, our sin(wt) can be expressed as \(\frac{e^{iwt} - e^{-iwt}}{2i}\) . This might seem more complicated at first glance, but working with complex exponentials often simplifies mathematical operations, especially when dealing with systems of differential equations that describe oscillations. Many advanced physics and engineering problems leverage this complex exponential representation because calculus operations like differentiation and integration become simple algebraic manipulations on the exponents.

This connection to complex numbers is not just a mathematical trick; it reflects a deep reality. Sinusoidal oscillations are fundamental to many physical processes, and their mathematical description often benefits from the richer framework of complex numbers. Think about wave propagation in electrical circuits or quantum mechanics – complex numbers are indispensable. The real part of a complex exponential, e^(iwt) , traces out a cosine wave, while the imaginary part traces out a sine wave. Together, they form a rotating vector on the complex plane, with the angle of rotation being wt .

Furthermore, the concept of frequency domain analysis , particularly using the Fourier Transform , relies heavily on the sinusoidal nature of signals. The Fourier Transform allows us to decompose any complex, periodic signal into a sum of simple sine and cosine waves of different frequencies and amplitudes. This means that even a complicated waveform can be understood as a combination of basic sin(wt) components. This is revolutionary because it allows us to analyze signals based on their frequency content rather than just their time-varying behavior. For instance, audio equalizers work by boosting or cutting specific frequencies, effectively manipulating the amplitudes of the underlying sine waves that make up the sound.

In essence, the sin(wt) formula is more than just a simple trigonometric function; it’s a gateway to a deeper understanding of wave phenomena, signal processing, and the fundamental oscillatory nature of the universe. Its mathematical relationships with complex exponentials and its role in frequency analysis highlight its profound importance across various scientific disciplines. It’s the key to unlocking the secrets of how vibrations, waves, and cycles shape our world.

The Broader Implications and Future

So, what’s the big picture here, guys? The sin(wt) formula is clearly a cornerstone of classical physics and engineering. Its ability to model repetitive phenomena with remarkable accuracy has enabled centuries of scientific progress. From understanding the mechanics of planetary orbits (though often approximated by ellipses, simple harmonic motion is a fundamental concept) to designing the sophisticated electronics that power our digital age, the fingerprints of sinusoidal functions are everywhere.

Looking ahead, the principles embodied by the sin(wt) formula continue to be relevant, even in cutting-edge fields. In quantum mechanics, for example, wave functions often involve complex exponentials, which are directly related to sine and cosine functions. These wave functions describe the probability of finding a particle in a certain state, and their oscillatory nature is fundamental to quantum behavior. The concept of frequency, omega (ω), remains central, defining energy levels and transition rates.

In signal processing and communications, the drive for higher data rates and more efficient transmission methods relies on sophisticated manipulation of waveforms. Techniques like modulation – embedding information onto a carrier wave – heavily utilize sinusoidal functions. Advanced modulation schemes, like Quadrature Amplitude Modulation (QAM), encode data by varying the amplitude and phase of multiple sinusoidal carriers, all built upon the basic principles we’ve discussed.

The study of complex systems, from biological networks to climate patterns, also involves analyzing cyclical behaviors. While these systems may not always exhibit perfect simple harmonic motion, the tools developed from studying sin(wt) , like Fourier analysis, are essential for identifying periodicities and understanding underlying dynamics. Identifying cycles in economic data, for instance, can help in forecasting and policy-making.

Furthermore, the mathematical framework developed around sinusoidal waves has influenced the very way we think about and model dynamic processes. The concept of resonance, where a system responds strongly to a driving frequency close to its natural frequency, is a direct consequence of sinusoidal behavior and has implications ranging from structural engineering (avoiding bridge collapses) to medical imaging (MRI machines exploiting nuclear magnetic resonance).

In conclusion, the sin(wt) formula , in its elegant simplicity, encapsulates a fundamental aspect of how the universe operates. It’s a testament to the power of mathematics to describe and predict natural phenomena. As technology advances, the core concepts of oscillation, frequency, and wave behavior, all beautifully represented by sine and cosine functions, will undoubtedly remain central to scientific discovery and innovation. Keep exploring, keep questioning, and remember the wave that underlies so much of our reality!