Effortless PF ESIC Registration Online Guide

T.Beswifty 76 views
Effortless PF ESIC Registration Online Guide

Hey guys! So, you’re looking to get your PF ESIC registration done online, huh? It’s a pretty common question for businesses nowadays, and honestly, it’s a lot easier than you might think. The Employees’ Provident Fund (PF) and Employees’ State Insurance (ESIC) are super important for your employees’ well-being, providing them with social security benefits. Traditionally, getting this done involved a whole lot of paperwork and maybe even a few trips to government offices. But guess what? The digital age has made it way more streamlined. This article is going to be your go-to guide, breaking down exactly how to navigate the PF ESIC registration online process. We’ll cover everything from what you need to get started, the step-by-step process for both PF and ESIC, and some handy tips to make sure everything goes smoothly. So, stick around, and let’s get this sorted without any headaches!

Understanding PF and ESIC Registration

Alright, let’s dive a bit deeper into why PF ESIC registration online is such a big deal. First off, what exactly are PF and ESIC? The Employees’ Provident Fund (PF) is basically a retirement savings scheme. When you register for PF, a portion of your employees’ salary is deducted and put into their PF account. Your company also contributes to this fund. It’s a fantastic way for employees to build up savings for their future, and it’s mandatory for most businesses. On the other hand, the Employees’ State Insurance (ESIC) is a comprehensive social security scheme that provides medical, sickness, maternity, and employment injury benefits to employees. Think of it as a safety net for your workforce. For employers, registering for both PF and ESIC isn’t just about compliance; it’s about showing your employees that you care about their financial security and health. Historically, this involved extensive paperwork, but thankfully, the government has pushed for online services, making the PF ESIC registration online process accessible and efficient. Understanding these basics is key before you even start the registration. It helps you appreciate the importance of the process and why it’s worth taking the time to get it right. Remember, the goal is to ensure your employees are covered and that your business operates within legal frameworks, and doing it online saves you a ton of time and effort compared to the old-school methods. So, let’s get into the nitty-gritty of how you can achieve this digital transformation for your compliance needs.

Why Online Registration is a Game-Changer

Let’s be real, guys, nobody enjoys dealing with piles of paperwork or waiting in long queues. That’s precisely why the ability to do your PF ESIC registration online is such a massive upgrade. Think about the time you save! Instead of printing forms, filling them out by hand, and then submitting them physically, you can now complete most of the process from your computer or even your phone. This accessibility means you can tackle registration whenever it’s convenient for you, whether that’s during office hours or late at night. Plus, the online portals are designed to be user-friendly. They guide you through each step, often with clear instructions and error checks to prevent mistakes. This significantly reduces the chances of rejection due to simple errors, which, let’s face it, used to be a common problem with manual submissions. Online PF ESIC registration also brings a new level of transparency. You can track the status of your application, see when it’s been approved, and access important documents digitally. This digital trail is invaluable for record-keeping and auditing purposes. Furthermore, it’s a much more environmentally friendly approach – fewer trees chopped down for paper, you know? In a nutshell, online registration is not just about convenience; it’s about efficiency, accuracy, and a more modern, responsible way of handling essential business compliances. It empowers businesses, especially small and medium-sized ones, to meet their legal obligations without being bogged down by bureaucratic hurdles. It truly is a game-changer for how we manage workforce compliance in today’s fast-paced world.

Prerequisites for Online PF ESIC Registration

Before you jump into the PF ESIC registration online process, it’s super important to have a few things ready. Think of these as your essential toolkit to make the whole thing go smoothly. First up, you’ll need your company’s Digital Signature Certificate (DSC) . This is like your company’s electronic ID and is crucial for authenticating your online submissions. Make sure it’s valid and up-to-date. Next, you’ll need your company’s PAN card . This is a non-negotiable requirement for any financial or legal process in India. Having your business registered and in good standing is also vital. This means having your Certificate of Incorporation (if it’s a company) or Partnership Deed (if it’s a partnership firm) handy. You’ll also need details about your business address, including proof of address like a utility bill or rent agreement. For PF registration , you’ll need details about your employees, such as their names, addresses, dates of birth, bank account numbers, and Aadhaar numbers. Similarly, for ESIC registration , you’ll need employee details and information about the wage structure. Having a dedicated bank account for your business is also a must, as you’ll likely need to link it for payments and other financial transactions related to PF and ESIC. Finally, make sure you have a valid email address and mobile number for communication and OTP verification. Having all these documents and details organized beforehand will save you a ton of time and prevent any frustrating roadblocks when you’re actually going through the online forms. Trust me, being prepared is half the battle won!

Step-by-Step Guide to Online PF Registration

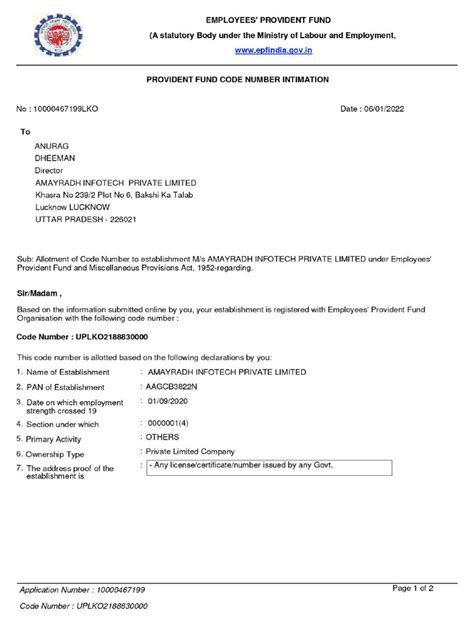
Alright, let’s get down to the nitty-gritty of the PF ESIC registration online process, starting with PF. The Employees’ Provident Fund Organisation (EPFO) portal is where the magic happens. First, you need to head over to the official EPFO website. Look for the section related to employer registration or new establishments. You’ll typically find an option like ‘Register Company’ or ‘Establishment Registration’. Click on that, and you’ll be directed to a form. Here’s where you’ll need those prerequisites we just talked about. You’ll need to provide your company’s basic details: name, address, type of business, PAN, etc. This initial step usually requires creating a username and password for your organization. Once you’ve submitted this initial information, you’ll often receive an acknowledgement or a temporary ID. The next phase involves filling in more detailed information about your company, including details about directors, authorized signatories, and bank account information. You’ll also need to upload scanned copies of necessary documents, such as your PAN card, incorporation certificate, and bank statements. Crucially, you’ll need to register your employees. This usually involves uploading a list of employees or registering them individually through the portal. Each employee will need to provide their Aadhaar number, bank details, and other personal information. The system will then verify these details. After you’ve completed all the sections and uploaded the required documents, you’ll submit the application. You should receive an Employer Identification Number (EIN) and a Sub-Code Number once your registration is approved. This might take a few days. Keep these numbers safe, as you’ll need them for all future correspondence and filings with the EPFO. Remember, carefully fill out every field, as errors can lead to delays. Double-checking all the information before final submission is always a good idea. This streamlined online PF registration process is designed to be as straightforward as possible, so take your time and follow the instructions on the portal.

Step-by-Step Guide to Online ESIC Registration

Now, let’s tackle the ESIC registration online part. The Employees’ State Insurance Corporation (ESIC) has its own portal for this, and it’s pretty straightforward. Head over to the ESIC portal, usually found by searching for ‘ESIC Employer Registration’ online. You’ll need to find the link for employer registration, often under a section like ‘Online Services’ or ‘Registration’. Click on it, and you’ll be greeted with a registration form. Similar to PF, you’ll start by providing your company’s fundamental details: name, address, type of company, contact person, email, and mobile number. You’ll need to create a login ID and password for your ESIC account. After the initial submission, you’ll likely get a confirmation or an account ID. The subsequent steps involve providing more comprehensive information about your business, including its nature, the number of employees, and wage details. You’ll be required to upload supporting documents, which might include your company’s PAN card, registration certificate, proof of address, and details of your bank account. For ESIC, you’ll need to register your employees. This typically involves uploading a list of all employees who are eligible for ESIC coverage, along with their personal details like name, father’s name, address, date of birth, and gender. The portal might also ask for information about their dependents. Once all the necessary information is entered and documents are uploaded, you’ll submit the application. Upon successful verification, you’ll be issued an ESIC Employer Code Number . This unique code is essential for all future ESIC-related transactions and filings. The online ESIC registration process is designed to be efficient, allowing you to complete the formalities from the comfort of your office. Just like with PF, accuracy is key. Take your time, read the instructions carefully, and ensure all the details you provide are correct to avoid any delays or rejections. Once registered, you’ll have access to various online services for managing your ESIC contributions and employee benefits.

Even with the best intentions and the most user-friendly portals, you might run into a few hiccups when doing your PF ESIC registration online . It’s totally normal, guys! One common issue is inaccurate or incomplete information . This is usually due to not having all the prerequisite documents ready or simply making a typo. The solution? Double-check everything before submitting! Have a checklist and cross-reference all details with your official company documents. Another challenge can be technical glitches with the website. Sometimes portals can be slow or unresponsive. If this happens, try clearing your browser’s cache and cookies, or try accessing the portal from a different browser. If the issue persists, it’s best to try again later, perhaps during off-peak hours. Document upload errors are also pretty common. Make sure your scanned documents are in the correct format (usually JPG or PDF) and within the specified file size limits. Sometimes, the system might not accept a document if the scan quality is poor. So, ensure your scans are clear and legible. OTP verification issues can pop up too. If you’re not receiving the OTP on your registered mobile number or email, check your spam folder or ensure your network connection is stable. You might also need to request a resend. If you encounter a persistent problem that you can’t resolve, don’t panic! Both EPFO and ESIC have helpdesks and customer support . Reach out to them via phone or email, clearly explaining the issue you’re facing. Providing your application reference number, if you have one, will help them assist you faster. Remember, the goal of the online PF ESIC registration is to make things easier, so these support channels are there to help you succeed. Patience and persistence are your best friends here!

Post-Registration Compliance and Next Steps

So, you’ve successfully completed your PF ESIC registration online – awesome job! But hold on, the journey doesn’t end there, guys. Now comes the crucial part: ongoing compliance . For PF, you’ll need to file monthly returns, typically known as the EPFmonthly return . This involves reporting your employees’ details and the contributions made towards their PF accounts. You’ll also need to deposit the contributions on time. Similarly, for ESIC, you have monthly contribution payments to make based on your employees’ wages. You’ll need to ensure these payments are made accurately and by the due dates to avoid penalties. The ESIC portal allows you to generate challans for payments and submit returns. It’s also essential to keep your employee database updated on both portals. When you hire new employees, you’ll need to register them. When an employee leaves, you’ll need to update their status. Maintaining accurate records is paramount. Keep all your registration certificates, challans, and return filings safely. These documents are vital for any future audits or inspections. Furthermore, ensure you’re familiar with the latest rules and regulations regarding PF and ESIC, as they can be amended from time to time. Regularly visiting the EPFO and ESIC websites for updates is a good practice. Staying on top of these post-registration requirements ensures that your business remains compliant and that your employees continue to benefit from these essential social security schemes. It’s all about building a responsible and sustainable business. Congrats again on getting registered; now let’s keep that momentum going with consistent compliance!

Conclusion: Streamlining Your Business Operations

To wrap things up, getting your PF ESIC registration online is no longer a daunting task. As we’ve explored, the government’s push towards digitalization has made this process incredibly efficient and accessible. By understanding the prerequisites, following the step-by-step guides for both PF and ESIC registration, and being prepared to navigate potential challenges, you can ensure a smooth and hassle-free experience. Remember, timely and accurate registration is not just a legal requirement; it’s a fundamental step in providing essential social security benefits to your employees, fostering a loyal workforce, and building a reputable business. The online portals have significantly reduced the burden of manual paperwork, saving you valuable time and resources. Streamlining your business operations through these digital platforms allows you to focus more on growing your enterprise and less on administrative hurdles. So, embrace the convenience, utilize the resources available, and make online PF ESIC registration a priority for your business. It’s a win-win situation: your business stays compliant, and your employees get the protection they deserve. Happy registering, guys!